How to calculate the sum of interior angles.

How to find interior angles of a regular polygon.
At each vertex of a polygon there is both an interior and exterior angle corresponding to the angles on the inside and.
You may need to find exterior angles as well as interior angles when working with polygons.
An interior angle of a polygon is an angle inside the polygon at one of its vertices.
Interior angles of regular polygons remember that the sum of the interior angles of a polygon is given by the formula sum of interior angles 180n 2 where n the number of sides in the polygon.
Learn how to find the interior and exterior angles of a polygon in this free math video tutorial by marios math tutoring.
So for example the interior angles of a pentagon always add up to 5400 so in a regular pentagon 5 sides each one is one fifth of that or 1080.
The sum of the interior angles of any regular polygon of n sides is equal to 180n 2 degrees.
A polygon is called a regular polygon when all of its sides are of the same.
A polygon is any closed figure with sides made from straight lines.
If the polygon is regular sides and angles are all equal divide the sum produced in step 1 by the number of sides.
For a regular polygon the total described above is spread evenly among all the interior angles since they all have the same values.
Everything you need to know about a polygon doesnt necessarily fall within its sides.
This is the degree of each angle in the polygon.
Once you have the sum divide by the number of sides to find an individual angle.
Angle q is an interior angle.
Interior And Exterior Angles Of A Polygon Exterior Angle
Selina Concise Mathematics Class 8 Icse Solutions Chapter 16
Interior Angles Of Polygons Angles Exterior Angles
Pin By Daneen Mcdermott On Science Is Fun Regular Polygon
Exterior Interior Angles Of Polygons 3 Dominoe Like Matching Sort
Solution One Interior Angle Of A Regular Polygon Is 135
Interior And Exterior Angles Of Polygons
How Do You Find The Measure Of Each Interior Angle Of A
Ppt 3 4 The Polygon Angle Sum Theorems Powerpoint
Program To Find The Interior And Exterior Angle Of A Regular
Solved 3 Find Each Of The Following Angle Measures For T
How To Find The Measure Of Each Angle Of A Regular Pentagon
1 25 10 Interior And Exterior Angles
Polygons Angles In Regular Polygons Regular Polygons Have
Sum Of Interior Angles Of A Polygon Video Khan Academy
Interior And Exterior Angles Of Polygons
Untitled
Angles And Polygons Teacherpage
Interior Angle Of A Regular Polygon Equation More Than10
Interior Angles Of A Polygon 13 Step By Step Examples
What Is A Regular Polygon
Interior Angles Of A Regular Polygon Luxury Interior
How To Calculate The Sum Of Interior Angles 7 Steps
Geometry Learntofish S Blog
Interior Angle Of A Polygon
Polygons Cazoom Maths Worksheets Regular Polygons With
Given An Exterior Measure Of A Regular Polygon Find The
Finding Interior Angles Of A Regular Polygon By Davitily
Find Angle Measures In A Polygon
How To Measure The Angles Of A Polygon Find The Sum
How Do You Find The Measure Of Each Interior Angle Of A
The Sum Of Interior Angles Of A Regular Polygon Is 1800 Find
Ppt 6 1 The Polygon Angle Sum Theorems Powerpoint
Polygons Formula For Exterior Angles And Interior Angles
Sum Of Exterior Angles Of A Polygon Worksheet
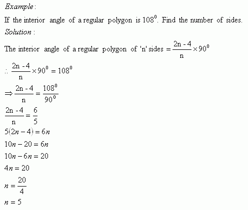
The Interior Angle Of A Regular Is 108 Find The Number Of
How To Calculate The Sum Of Interior Angles 7 Steps
How To Calculate The Sum Of Interior Angles 7 Steps
Find The Measure Of Each Exterior Angle Of The Given Regular Polygon Level 1
Conjectures In Geometry Polygon Sum
How To Find Exterior Angles Quora
Interior Angles Of Regular Polygons
Interior Angles Of Polygons Ppt Download
Interior Angles Exterior Angles And The Sum Polygon
8 1 Find Angle Measures In Polygons Ppt Video Online
Unit 15 Section 2 Angle Properties Of Polygons
Finding The Interior Angle Of A Regular Polygon Free
Regular Polygons Properties
Interior And Exterior Angles Of Polygons
Regular Polygon Shape Name
Polygons Polygon Basics In Depth
Regular Polygon Calculator
Interior Angles Exterior Angles And The Sum Polygon
Ppt Warm Up Draw Each Regular Polygon And Find An
Ex 3 2 6 A What Is The Minimum Interior Angle Possible
20 Images What Is The Interior Angle Of A Regular Octagon
How To Find Measure Of An Exterior Angle Of A Regular
Calculate The Size Of The Interior Angles In A Regular
Geometry Practice G Co C 11 Interior And Exterior Angles Of
Find The Measure Of Each Exterior Angle Of A Regular Polygon
Geometry Chapter 8 Review
Lesson Interior Angles Of A Polygon Nagwa
Conjectures In Geometry Exterior Angles
Sum Of Interior Exterior Angles
Angles Of Polygons Solutions Examples Worksheets Videos
Is It Possible To Have A Regular Polygon With A Measure Of
Polygons Find Number Of Sides In Regular Polygon Given Interior Angle Grade 4 Gcse Maths
Internal And External Angles Wikipedia
Interior Angles Of Polygons
Interior And Exterior Angles Of A Polygon Dummies
Topic Exterior Angles Worksheet How Many Degrees Are
Find The Radian Measure Of The Interior Angle Of A Regular
Exterior Angles Of Polygons Examples Solutions Videos
Polygons Motivating Measure Of 1 Interior Angle Which
How To Find The Interior Angle Sum Of A Polygon Math
Polygons Exterior Angles Worksheet Ks3 Maths Secondary
Find Angle Measures In A Polygon
Interior Angles In A Regular Polygon Geogebra
Sum Of Interior Angles Of A Polygon Maple Programming Help
Interior Angles Of Regular Polygons Worksheet Edplace
The Number Of Sides Of Two Regular Polygon Are In The Ratio
Angles Of Polygons Andymath Com
Interior And Exterior Angles Of Polygons
Untitled
Polygons
How Many Sides Are In A Regular Polygon That Has Exterior
20 Luxury How Many Interior Angles Does A Polygon Have
Interior Angle Theorem Definition Formula
The Sum Of The Interior Angles In A Polygon
Untitled
Ex Find The Sum Of The Interior Angles Of The Given Polygon
Interior Angles Of Regular Polygons 1
Regular Polygon Thepolygonsofmathematics
Problems On Interior Angles Of A Regular Polygon Ii
Each Interior Angle Of A Regular Polygon Mathhelp Com
Gcse Revision Interior And Exterior Angles
The Following Steps Are Involved In Finding Each Of Interior Angle Of 10 Sided Regular Polygon Arrange Them In Sequential Order A Each Exterior Angle 36 B Each Interior Angle
Download Geometry